卤素(氯、溴和碘)在大气中普遍存在,并对大气的化学成分产生显著影响,进而影响污染物的命运并可能对气候产生影响。非均相化学已成为卤素化学中的一个关键过程。N2O5激活卤素的过程尤其重要,这与NOx的来源、臭氧浓度、NO3的均相反应性以及含卤化物气溶胶颗粒的可获得性有关。例如,测量结果显示,氯化物对(NO2+)(NO3-)的攻击效率比水攻击高出约500倍,导致ClNO2的大量产生。与此形成鲜明对比的是,迄今为止还没有关于BrNO2或INO2的原位观测报告。不幸的是,尽管其重要性,但由于气溶胶化学环境的复杂性,N2O5-X-化学反应的详细机制仍然缺乏。
在前期工作中,北京师范大学朱重钦教授、方维海院士课题组发展了基于元动力学的高效自由能计算方法,提出了水体系化学反应的化学计算模拟方法,并研究了一系列水微滴中的化学反应。基于此,课题组研究了N2O5···X-体系在气-水界面的化学反应,采用第一性原理分子动力学(AIMD),并结合分步多子相空间元动力学方法(SMS-MetaD)方法,揭示了N2O5与X-在空气-水界面的反应有两种不同的反应机制:1、X- 与N2O5中N原子相互作用,通过SN2反应机制生成XNO2;2、X-与N2O5端基氧直接相互作用,生成XONO。通过比较两种机制的反应自由能剖面,发现在Cl-体系中,生成ClNO2的路径更为有利,而在Br-和I-体系中,生成BrONO和IONO的路径几乎是无能垒的,是主要产物。除此之外,本研究也对从XNO2和XONO生成X2的反应机制进行了探究,反应的高能垒和产物相对于反应物的高自由能表明ClNO2在空气-水界面上是稳定的,与传统看法相反,该计算表明,BrONO和IONO最初形成稳定的BrONO··Br-和IONO··I-配合物,然后分别与Br-和I-反应生成Br3-和I3-,最后,Br3-和I3-分解生成Br2和I2。这些发现对实验解释具有重要意义,对大气中无法直接观测到BrNO2和INO2提供了新的理论支持,也为大气中卤素循环提供了新的见解。
相关研究工作以“Mechanistic Insights into N2O5-halide Ions Chemistry at the Air-water Interface”为题,发表在《Journal of the American Chemical Society》(https://pubs.acs.org/doi/10.1021/jacs.4c05850)。北京师范大学是该工作的第一单位;北京师范大学化学学院博士后唐博和硕士生白琪为论文的共同第一作者;宾夕法尼亚大学Joseph S. Francisco教授和北京师范大学化学学院朱重钦教授为该工作的共同通讯作者。

图1. 海盐气溶胶表面N2O5···X−体系的化学反应示意图。

图2. N2O5···X-在水气界面生成XNO2 (a)和XONO (b)的代表性快照和自由能剖面图(c, d, e)

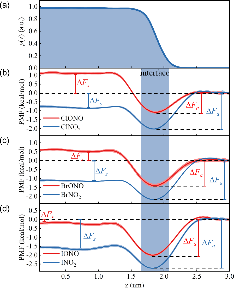
图3. ClONO/ClNO2 (b) , BrONO/BrNO2 (c) , IONO/INO2 (d) 从体相穿过水气界面到气相的自由能剖面图。

图4. XNO2 (a) 和XONO (b) 与X-在水气界面反应生成 X2 的代表性快照和自由能剖面图 (c, d, e)。

图5. XNO2 (a) 和XONO (b) 与X−在水气界面反应生成X3-的代表性快照和自由能剖面图 (c, d, e)。

图6. X3-在水气界面反应生成X2的代表性快照 (a) 和自由能剖面图 (c, d, e)。