氧还原反应(ORR)是燃料电池、金属-空气电池等清洁能源技术的核心反应过程,但其缓慢的动力学特性严重制约了能量转换效率。近年来,铁-氮-碳(Fe-N-C)材料因具有高原子利用率、低成本及可调的电子结构,成为最具潜力的非贵金属ORR催化剂候选者。然而,Fe-N-C在实际应用中面临严峻挑战:Fe活性位点在碱性环境中易发生溶解和氧化,且ORR过程中产生的过氧化氢(H₂O₂)会通过电化学芬顿反应(Fe²⁺ + H₂O₂ → Fe³⁺ + ·OH + OH⁻)生成高活性羟基自由基(·OH),加速Fe位点脱落和催化剂失活,严重损害材料耐久性。因此,4e-ORR过程中H₂O₂的持续积累是导致Fe-N-C性能衰退的关键瓶颈。
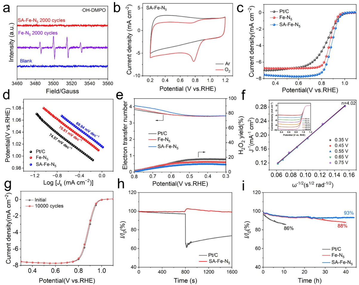
基于此,北京师范大学化学学院孙根班教授团队开发了一种CuN5单原子纳米酶(SAzyme)辅助的Fe-N5催化剂,通过铜-铁双原子位点协同作用显著提升ORR性能。研究结果表明,SA-Fe-N5在碱性电解质中展现出优异的ORR活性,其半波电位(E1/2)和扩散极限电流密度(Jk)与商业Pt/C相当。如图1所示,通过DFT计算揭示了Cu-N5单原子纳米酶对Fe单原子催化剂体系的协同优化机制:(1)Cu作为电子供体通过碳骨架提升Fe位点电子密度,优化ORR中间体吸附能垒,从而提高ORR催化活性;(2)Cu-N5位点作为类过氧化氢酶优先分解H₂O₂,有效抑制Fe引发的芬顿反应,进一步提高ORR催化稳定性。如图2所示,通过配体-介导法成功合成Fe/Cu双原子催化剂,通过EXAFS拟合确认Cu-N5和Fe-N5的配位构型,最终确定Fe-N5/Cu-N5双原子位点。如图3所示,优化后的SA-Fe-N5在碱性电解质中中达到0.89 V(vs. RHE)的半波电位,其性能超越传统商用Pt/C和Fe-N5。关键创新在于引入Cu位点有效抑制Fe位点的类芬顿效应,使羟基自由基(·OH)生成量降低。电化学稳定性结果表明,SA-Fe-N5催化剂经10000次循环后半波电位衰减仅7.2 mV,显著优于Fe-N₅(34 mV)。作为锌-空气电池阴极催化剂,SA-Fe-N5实现了217.8 mW cm-²的峰值功率密度和808.7 mAh g-1的比容量,在10 mA cm⁻²下稳定循环110小时,展现其商业化应用潜力。本研究将理论研究与实验验证相结合,为进一步设计高耐久、低成本ORR电催化剂提供了创新策略和新的视角。

图1 催化位点的密度泛函理论计算

图2 SA-Fe-N5催化剂形貌结构表征

图3 SA-Fe-N5电化学ORR性能测试
该项工作近期发表在国际知名期刊ACS Nano上,该研究得到了国家自然科学基金等课题资助。北京师范大学化学学院为第一完成单位,北京师范大学化学学院孙根班教授、北京师范大学文理学院孙泽民副教授、林柳副教授为共同通讯作者,北京师范大学化学学院博士后蒋皓珉为第一作者。论文相关信息如下:Jiang, H.; He, J.; Zhou, S.; Yuan, M.; Lin, L.; Sun, Z.; Sun, G. Electron Donor-Acceptor Activated Anti-Fenton Property for the Ultradurable Oxygen Reduction Reaction. ACS Nano 2025, 10.1021/acsnano.5c00085.